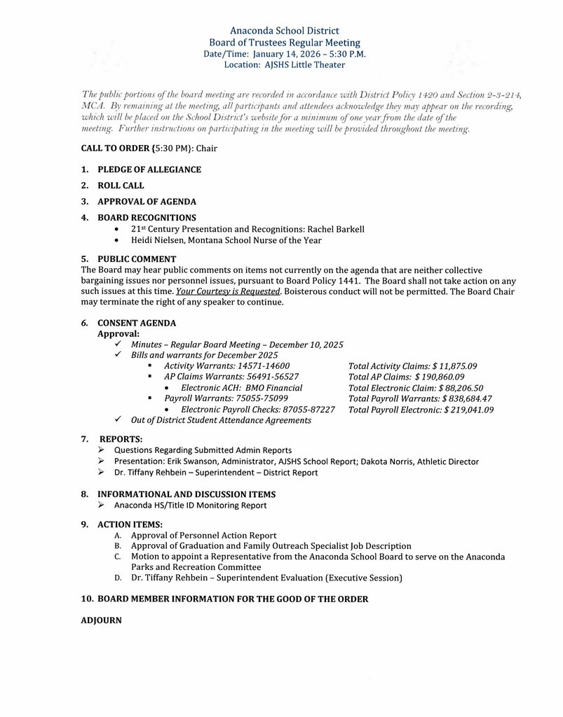
Work Session/Regular School Board Meeting-Wednesday, January 14, 2026. This will be held at the AJSHS Little Theater at 4:30P.M./5:30 P.M.
Meeting can be streamed: https://zoom.us/join
Webinar ID: 845 3483 1383 Passcode: 974711
Meeting can be streamed: https://zoom.us/join
Webinar ID: 845 3483 1383 Passcode: 974711

📲 We are loving our new app! Access documents, news updates, urgent alerts and notifications, right from your pocket.
Download for Android https://aptg.co/J58dt1
Download for iPhone https://aptg.co/bSHK08
Download for Android https://aptg.co/J58dt1
Download for iPhone https://aptg.co/bSHK08
Basketball at P-Burg on Friday, Jan. 9. Varsity only at 5:30 and 7 p.m.

Basketball games at home on Thursday! Play begins at 3 p.m. at Memorial Gym against Butte Central.

Wrestling teams back in action on Friday and Saturday! Girls in Belgrade and boys in Bozeman. (1/2 and 1/3).

Basketball teams are home on Friday, Jan. 2!

Catch up with the latest student stories, events, and news updates. It's everything Anaconda School District, in your pocket. If you haven't already, download the app!
Download for Android https://aptg.co/J58dt1
Download for iPhone https://aptg.co/bSHK08
Download for Android https://aptg.co/J58dt1
Download for iPhone https://aptg.co/bSHK08

Lincoln programs today (Thursday, 12/17/25), 9 a.m., at Washoe Theater!
Wednesday, 12/17/25: The instrumental event at Fred Moodry will take place as scheduled at 7 p.m. Practices are being held tonight, as well. Please be safe!
Don't miss our wonderful junior high instrument concert, Tuesday, Dec. 16, 7 p.m. at the Fred Moodry Auditorium.

Wednesday dress up day at Lincoln: Sweater Weather! 12/16/25

Girls and boys wrestling action live in Deer Lodge on Tuesday, Dec. 16, 2025. 6 and 7 p.m. at the Powell County High School.

Lincoln dress up day for Tuesday: Favorite holiday movie character!

High School Holiday Concert at the historic Washoe Theater, Monday, Dec. 15, 7 p.m.
Parents Day to Shop has been cancelled for Saturday, 12/13/25. Lincoln school officials will reach out if you already signed up. Thank you for your consideration!
Basketball schedule for Saturday, Dec. 13, tip-off tournament.

Friday, Dec. 12, basketball Tip-Off Tourney schedule.

Thursday schedule, basketball tip-off tourney, Dec. 11, 2025.

Events are ramping up this week!

Regular School Board Meeting-Wednesday, December 10, 2025. This will be held at the AJSHS Little Theater at 5:30 P.M. Meeting can be streamed: https://zoom.us/join
Webinar ID: 831 8634 5277 Passcode: 851583
Webinar ID: 831 8634 5277 Passcode: 851583

